Ένας χρόνος με το τρένο στον Έβρο: Από τις υποσχέσεις στην πραγματικότητα
Για μένα όταν μιλάμε για ‘απομόνωση’, μιλάμε βασικά για υποδομές οι οποίες έχουν να κάνουν με τη σύνδεση: δρόμος και τρένο, ειδικά το τρένο, στο τρένο αποδίδω πάρα πολύ μεγάλη σημασία. Και πραγματικά οραματίζομαι αυτήν την ιδέα ενός τρένου που θα έχει χαρακτηριστικά ενός προαστιακού σιδηροδρόμου που θα μπορεί να συνδέει γρήγορα και με ασφάλεια τον Βόρειο Έβρο με την Αλεξανδρούπολη“. Από αυτή την απάντηση του πρωθυπουργού Κυριάκου Μητσοτάκη στο Ράδιο Έβρος στις 14 Ιανουαρίου 2023, μέχρι σήμερα, 26 Νοεμβρίου 2025, μεσολάβησαν πολλά ώσπου να να μπει το “νερό στ’ αυλάκι”, ή – για να ακριβολογούμε – τα βαγόνια στις ράγες του εβρίτικου σιδηροδρομικού δικτύου.
Αρχικά χαρήκαμε όταν τέθηκε το Μάρτιο του ’23 σε «περιβαλλοντική» διαβούλευση το mega έργο Αλεξανδρούπολη – Ορμένιο των 1,1 δισ. ευρώ. Προδιαγραφόταν ένα λαμπρό μέλλον για τον τοπικό σιδηρόδρομο του Έβρου από όσα περιέγραφε αναλυτικά η μελέτη, η οποία ανέφερε ότι επρόκειτο για την “υφιστάμενη εν λειτουργία Σιδηροδρομική Γραμμή η οποία θα αναβαθμισθεί σε διπλή. Περιλαμβάνεται η εγκατάσταση συστημάτων σηματοδότησης και ETCS Level 1 και ηλεκτροκίνησης, καθώς και η αναβάθμιση σταθμών/στάσεων” (δείτε τι προέβλεπε η μελέτη αναλυτικά: ΕΔΩ).
Όλα ανατράπηκαν όταν η κυβέρνηση τελικά αποφάσισε να κάνει σημαντικές περικοπές για την ανάπτυξη του σιδηροδρομικού δικτύου, επικαλούμενη το τραγικό δυστύχημα των Τεμπών και την κακοκαιρία Daniel. Αυτά, έλεγε στις 23 Οκτωβρίου 2023, “έχουν επιφέρει σημαντικές τροποποιήσεις στους άξονες προτεραιοτήτων του εγχώριου σιδηροδρομικού συστήματος” – με πρώτο “θύμα” το σιδηρόδρομο στον Έβρο. Όντως, στις 26 Μαρτίου 2024 μαθαίναμε ότι έρχεται «ψαλίδι» σε σιδηροδρομικά έργα άνω των 4 δισ. και γίνονταν προσπάθειες να υλοποιηθεί το Αλεξανδρούπολη – Ορμένιο. Κι αυτό, διότι όπως ανέφεραν τα δημοσιεύματα περιγράφοντας το σκεπτικό της κυβέρνησης:
“Το συγκεκριμένο έργο θεωρείται ιδιαίτερα κρίσιμο διότι αναμένεται να συνδέσει την Αλεξανδρούπολη με τις αγορές της Κεντρικής Ευρώπης, καθώς αποτελεί τμήμα του ευρωπαϊκού εμπορικού διαδρόμου Sea2Sea. Θεωρείται δηλαδή ένα έργο που θα ενισχύσει σημαντικά τον ρόλο της περιοχής ως εμπορευματικού κόμβου, με ό,τι αυτό συνεπάγεται και για την οικονομική ανάπτυξη του Έβρου συνολικά“.
Φτάνουμε, αισίως στην ημερομηνία – ορόσημο: 3 Οκτωβρίου 2024. Πραγματοποιείται η πολυσυζητημένη παρουσίαση στην Ορεστιάδα από τον πρωθυπουργό και μεγάλο κυβερνητικό κλιμάκιο, των 19 Αναπτυξιακών Μέτρων του Έβρου και εκεί ανακοινώνεται – πανηγυρικά – η Σιδηροδρομική σύνδεση Αλεξανδρούπολης – Ορεστιάδας (προαστιακός) με επανεκκίνηση στις 21 Οκτωβρίου 2024 με 2 δρομολόγια καθημερινά. Δήλωνε τότε ο Κυριάκος Μητσοτάκης:
“Σήμερα είναι μια ωραία μέρα για τον Έβρο και τη Θράκη συνολικότερα (…) Ο Κεντρικός και ο βόρειος Έβρος υπολείπονται έναντι της Αλεξανδρούπολης. Αυτά που εξαγγέλθηκαν, σε καμία περίπτωση δεν είναι σε βάρος της Αλεξανδρούπολης, η οποία ούτως ή άλλως αναπτύσσεται, με τις δικές μας ενέργειες. Ο σταθμός επαναϋγροποίησης του αερίου, τα έργα στο λιμένα, η σύνδεση της σιδηροδρομικής γραμμής και όλα τα άλλα, την καθιστούν – όπως και όλο το Νομό – εκτός από φυσική ΚΑΙ ενεργειακή πύλη εισόδου για την Ευρώπη. Αναβαθμίζεται και θα παίξει ρόλο στην ανοικοδόμηση της Ουκρανίας, όταν κάποια στιγμή θα τελειώσει ο πόλεμος. Πρέπει να παίξουμε έξυπνα τα γεωστρατηγικά μας χαρτιά. Προτάσσουμε τον Έβρο σε σχέση με άλλες περιοχές για να γίνει διακομιστικός διάδρομος“.
Πράγματι, το πρώτο δρομολόγιο ξεκινά στις 21 Οκτωβρίου 2024, αδυνατώντας όμως να φτάσει – ακόμα – ως το Ορμένιο, εκτελώντας μόνο το πήγαιν-έλα Αλεξανδρούπολη-Ορεστιάδα και το υπόλοιπο με λεωφορείο. Για τη σιδηροδρομική σύνδεση με το Ορμένιο, φτάνουμε στο μεσημέρι της Κυριακής 22 Δεκεμβρίου 2024, όταν πραγματοποιήθηκε η πρώτη δοκιμαστική διαδρομή από την Αλεξανδρούπολη προς το Ορμένιο, με επίσημο επιβάτη τον τότε υφυπουργό Μεταφορών Βασίλη Οικονόμου, ο οποίος επισήμανε ότι “η γραμμή πλέον καλύπτει τις ανάγκες του Βόρειου Έβρου και αποτελεί μέρος ενός ευρύτερου σχεδίου για την αναβάθμιση των σιδηροδρομικών μεταφορών στην περιοχή”.
Έτσι ξεκίνησαν πλέον την επομένη, 23 Δεκεμβρίου 2024 και τα δρομολόγια που θα ένωναν το Ορμένιο με την Αλεξανδρούπολη, ακολούθησε δε την ίδια μέρα και η συνέντευξη του υφυπουργού στην εκπομπή Εβροσκόπιο του Ράδιο Έβρος κατά την οποία δόθηκαν εξηγήσεις για τις καθυστερήσεις, τις – άβολες – ώρες των δρομολογίων, αλλά και τα μελλοντικά σχέδια. Και η συνέντευξη, τελικά, αποδείχθηκε “άβολη”, καθώς ο πρώην υφυπουργός Μεταφορών Βασίλης Οικονόμου μας χαρακτήρισε… “γκρινιάρηδες” και φάνηκε να διαθέτει μια άστοχη αντίληψη της πραγματικότητας στον Έβρο.
Φτάνουμε στο σήμερα. Η πρόσφατη (6 Νοεμβρίου 2025) συνέντευξη του Υφυπουργού Στον Πρωθυπουργό Θανάση Κοντογεώργη στο Εβροσκόπιο και η αναφορά του στην επαναλειτουργία της σιδηροδρομικής γραμμής, δημιούργησε ερωτηματικά. Ο κ. Κοντογεώργης δήλωσε αρχικά πως την συγκεκριμένη γραμμή κάνανε χρήση 26.000 επιβάτες στον ένα χρόνο λειτουργίας της. Ο αριθμός φάνταζε εξ αρχής υπερβολικός και επισημάνθηκε αυτό στον υφυπουργό, ο οποίος αναγνώρισε στη συνέχεια ότι – πράγματι – αυτός δεν ανταποκρίνεται στην πραγματικότητα. Διευκρίνισε ότι ο συνολικός αριθμός είναι 13.000, ανέφερε εκ παραδρομής “26.000” διότι μπερδεύτηκε με το one-way και διπλασίασε το νούμερο, όπως εξήγησε σε εκ νέου επικοινωνία του με την εκπομπή. Είχε δίκιο.
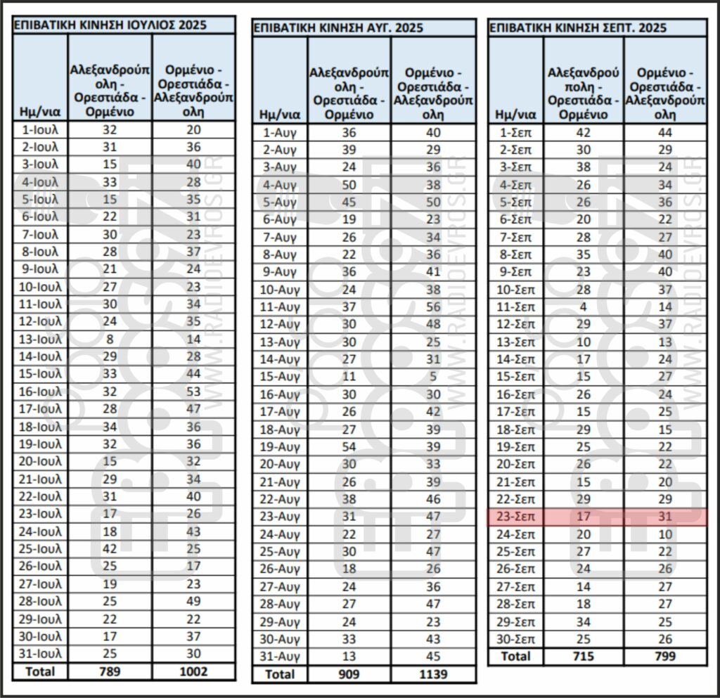
Απευθυνθήκαμε στην Hellenic Train υποβάλλοντας αίτημα να μας γνωστοποιηθούν τα επίσημα στοιχεία της εταιρίας για την επιβατική κίνηση στον Έβρο από την επανέναρξη λειτουργίας του σιδηροδρόμου έως σήμερα. Πράγματι – παρότι μοιάζει εντυπωσιακός ο αριθμός – τα άτομα που μετακινήθηκαν με το τρένο στον Έβρο από τις 21 Οκτωβρίου 2024 έως και τις 31 Οκτωβρίου 2025 φτάνουν συνολικά τα 6.889 για τη διαδρομή Αλεξανδρούπολη-Ορμένιο και τα 7.166 για την αντίστροφη, Ορμένιο-Αλεξανδρούπολη. Συνολικά: 14.055 επιβάτες.
Συμπερασματικά, παρά τις αφύλαχτες διαβάσεις, τους επικίνδυνους, αφώτιστους και εγκαταλελειμμένους σε αρκετά σημεία σταθμούς, αλλά και την αβεβαιότητα γύρω από τις προτεραιότητες στα… “εμπορευματικά φορτία”, ο σιδηρόδρομος παραμένει αναγκαίος για τον Έβρο ως το πλέον οικονομικό μέσο μαζικής μεταφοράς. Τα επίσημα στοιχεία δείχνουν ότι οι καθημερινοί χρήστες του φτάνουν σε μέσο όρο περίπου τα μόλις 20 άτομα, ενώ τους καλοκαιρινούς μήνες η κίνηση αυξήθηκε αισθητά, ιδίως στη διαδρομή Ορμένιο-Αλεξανδρούπολη. Παρότι στο σύνολό τους οι μετακινήσεις φτάνουν τις 14.055, είναι βέβαιο ότι με μια ουσιαστική αναπροσαρμογή των δρομολογίων σε ώρες πιο φιλικές για τους πολίτες, κυρίως του Βορείου Έβρου, το τρένο θα μπορούσε να αποτελέσει σοβαρή επιλογή μετακίνησης∙ σε αναμονή δε και της πολυθρύλητης σύνδεσης με την υπόλοιπη Ελλάδα, αφού ως γνωστόν από την Αλεξανδρούπολη και πέρα η Θράκη παραμένει σιδηροδρομικά αποκομμένη.
Ακολουθούν τα επίσημα στοιχεία από την Hellenic Train όπου έχουμε επισημάνει ενδεικτικά και κάποιες ημέρες κατά τις οποίες οι μετακινήσεις γίνονταν με λεωφορεία, “λόγω μεταφοράς εμπορευματικών (1) (2) φορτίων” ή ατυχημάτων.










